摘要
处于野外开阔地带的定日镜在冰雹作用下极易遭受冲击破坏。大量关于定日镜的研究主要集中在风荷载的影响上,而对冰雹冲击下定日镜的动力响应缺乏深入的了解。本研究采用数值模拟方法研究了中国青藏高原地区冰雹冲击定日镜的动态响应特征。基于青藏高原等地区历史冰雹数据,建立了考虑应变率效应和脆性断裂行为的冰雹动态本构模型并对其进行了验证,分析了冰雹冲击位置、冰雹直径、定日镜俯仰角和定日镜板厚对定日镜动态响应特性的影响。研究结果表明,冰雹冲击位置对定日镜位移影响显著,对最大主应力影响较小。定日镜的应力和位移随冰雹粒径的增大而增大,而随着定日镜仰角和板厚的增大而减小。当冰雹直径增加到30 mm时,定日镜的最大主应力超过其抗拉强度。
abstract
Heliostats are prone to be destroyed under the action of thunderstorm and hail in the wild.Many studies on heliostat mainly focused on the effect of wind load,while it is a lack of in-depth understanding on the dynamic responses of heliostats under hail impacting.This study performs the dynamic response of heliostat under hail impacting in Tibetan Plateau of China by numerical simulation.A hail dynamic constitutive model considering strain rate effect and brittle fracture behavior was established and verified based on historical hail statistics,and the effects of hail impacting position,hail size,elevation angle and thickness of heliostat on the dynamic response characteristics were analyzed.The research results demonstrate that the impact position has a significant influence on the displacement of heliostat,but a little effect on the maximum stress.The stress and displacement of the heliostat increase with the increase of hail size,while decrease with the increase of the elevation angle and thickness of heliostat.When the hail diameter increases to 30 mm,the maximum principal stress of heliostat exceed its tensile strength.The results are useful and interesting to researchers who can reference the obtained results to predict the heliostat safety under hail impacting.
研究背景
塔式太阳能光热发电技术具有高聚光比、高热流密度和高稳定性的特点,可实现大规模发电,是目前聚光太阳能发电最具前景的发展方向。为满足生产工艺要求,大型光热发电站通常选址在年日照率90%以上的开阔地带。从太阳能资源年总量看,青藏高原是我国太阳能资源最丰富的地区,在世界范围内仅次于撒哈拉大沙漠。同时,青藏高原是世界上海拔最高、范围最广的高原,对气候变化非常敏感。由于青藏高原强烈的隆升和复杂的地形,相比于中国其他地区,青藏高原地区出现冰雹和雷暴的频率最高。处于野外开阔地带的定日镜极易在雷暴大风和冰雹作用下发生破坏,影响光学性能,造成严重的经济损失。目前,对定日镜的研究主要集中在风荷载效应和风致振动问题,已有的冰雹冲击研究对象多集中在复合材料、金属屋面板等构件。因此,有必要开展冰雹冲击下定日镜结构动态响应和破坏特征的研究,为定日镜抗雹设计提供一定的参考。
数据模型介绍
为验证光滑粒子流体动力学法(Smooth Particle Hydrodynamic,SPH)模拟冰雹撞击以及冰雹本构模型选取的合理性,选取英国皇家飞行器实验机构(Royal Aircraft Establishment,RAE)进行的冰雹高速冲击铝合金平板实验(Thomson和Hayduk,1971)进行验证。结果如图1所示。
图1冰雹模型验证
本文模拟结果中铝平板产生的最大变形为11.7mm,在其他结果中为11.2 mm,误差为4.5%。不同模拟曲线整体拟合效果良好,说明本文采用的冰雹材料模型较为真实地模拟冰雹撞击损伤情况。
根据定日镜面板的对称性选取冰雹冲击位置,定日镜仰角a定义为反射镜面与Y轴间的夹角,当镜面平行于地面时,俯仰角为0°,如图2所示。
图2计算工况示意图
计算结果
1.冰雹冲击位置影响
图3给出了定日镜P0~P6位置依次受到冰雹冲击后的动态响应结果。在冰雹冲击瞬间,定日镜的位移和应力就迅速增大,随后位移随时间增长缓慢,直至趋于稳定,应力幅值逐渐衰减。当冰雹冲击定日镜P1位置时,定日镜的位移响应和应力响应幅值最大。相比于定日镜P0和P1位置,定日镜P2和P6位置受到冰雹冲击后的的位移曲线波动更大。
图3不同冲击位置下定日镜动态响应
2.冰雹直径影响
图4和图5给出了定日镜依次受到直径D为10~50 mm的冰雹冲击后的动态响应结果。当冰雹直径不超过20 mm时,定日镜的位移曲线和应力曲线变化较小;冰雹直径达到30 mm后,定日镜的位移曲线迅速下降,冰雹直径继续增大,位移和应力曲线斜率也越来越大,但最大主应力幅值出现时刻略有推迟。在冰雹直径为30 mm时,其最大主应力超过定日镜拉伸强度产生破坏。
图4不同冰雹粒径下定日镜位移时程曲线
图5不同冰雹粒径下定日镜最大主应力时程曲线
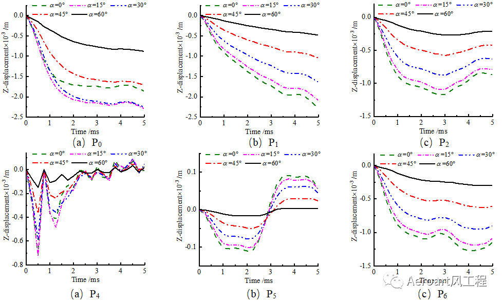
3.定日镜仰角影响
图6和图7给出了定日镜处于0°、15°、30°、45°和60°等5种仰角下,定日镜在直径30 mm的冰雹冲击下的动态响应结果。定日镜仰角不超过15°时,定日镜的位移和应力曲线随定日镜仰角变化较小,最大主应力在P1和P6位置略有增加,而在P2和P5位置略有减小;定日镜仰角大于30°,定日镜位移和应力响应迅速减小,位移和应力曲线斜率也越来越低,最大主应力峰值出现时刻也略有推迟。
图6不同定日镜仰角下定日镜位移时程曲线
图7不同定日镜仰角下定日镜最大主应力时程曲线
4.定日镜面板厚影响
图6给出了不同板厚的定日镜在直径30 mm的冰雹冲击下的动态响应曲线。当定日镜板厚不超过3 mm时,定日镜的位移随时间逐渐增大,最大主应力在冲击初始阶段就迅速增加并达到最大,然后下降并在后期出现第二个应力峰值。当定日镜板厚大于3 mm后,定日镜的位移和最大主应力在初始阶段基本为零,随后随时间逐渐增大,且随着板厚的增加,定日镜首个最大主应力幅值出现时刻略微推迟。
图8不同定日镜板厚下定日镜动态响应
结论
1)当冰雹冲击位置远离定日镜背面有吸盘支撑的位置时,定日镜的位移随着距定日镜板中心距离的增大而增大,但定日镜表面的最大主应力随冰雹冲击位置的变化而略有增加。
2)随着冰雹直径的增大,定日镜位移响应和最大主应力逐渐增大,且增长速率越来越快。当冰雹直径增加到30 mm时,定日镜的位移迅速增大,最大主应力超过其抗拉强度。
3)当定日镜仰角小于15°时,定日镜的位移和最大主应力随仰角的增大而略有变化,而冰雹冲击位置位于定日镜边缘时,其位移和应力随定日镜仰角的增加而增大。定日镜仰角大于15°时,定日镜的位移和最大主应力随定日镜仰角的增大而减小,衰减率基本一致。
4)随着定日镜厚度的增加,定日镜表面的应力集中区逐渐减小,定日镜位移和最大主应力应力值减小,但衰减幅度随定日镜板厚增加逐渐减小。对于本研究中使用的定日镜,当冰雹直径大于30mm时,定日镜板的厚度不应低于3 mm以抵抗冰雹的冲击。
参考文献:
D.Saini,B.Shafei,Prediction of extent of damage to metal roof panels under hail impact.Eng.Struct,187(2019)362-371.
https://doi.org/10.1016/j.engstruct.2019.02.036.
R.G.Thomson,R.J.Hayduk.An improved analytical treatment of the denting of thin sheets by hail.NASA technical note D-6102,Washington,DC,January(1971)1–36.
R.G.Thomson,R.J.Hayduk.An analytical evaluation of the denting of airplane surfaces by hail.NASA technical note D-5363,Washington,DC,August(1961)1–36.
文章引用格式:
[1]Baifeng Ji*,Qian Xiong,Panpan Xing,Penghui Qiu.Dynamic response characteristics of heliostat under hail impacting in Tibetan Plateau of China[J].Renewable Energy,2022,190:261-273.(JCR Q1,IF:8.7).
https://doi.org/10.1016/j.renene.2022.03.132.
论文分享链接:
https://pan.baidu.com/s/1rkTSon1Nc2oTi7Mlt5jk_g?pwd=8gps
提取码:8gps
